½à¾»ÊÒ±ê×¼¹æ·¶
ÐÐÒµ½â¾ö·½°¸
Ëæ»úÎÄÕÂÑ¡¶Á
ÁªÏµÎÒÃÇ
  • ÁªÏµÈË£º¶­ÏÈÉú
  • ÁªÏµµç»°£º137-10902965

ISO14644-1½à¾»±ê×¼£¨ÖÐÎÄ·­ÒëÍêÕû°æ£©

ÎÄÕÂÀ´Ô´£ºhttp://www.iwuchen.com/  2012Äê07ÔÂ13ÈÕ  µã»÷Êý£º154178

ǰÑÔ 

ISOΪȫÇò¸÷¹ú±ê×¼»¯ÍÅÌ壨ISO»áÔ±ÍÅÌ壩µÄÁªºÏ»á¡£Æä¹ú¼Ê±ê×¼¹¤×÷Ò»°ãÊÇÓÉISO¸÷¼¼ÊõίԱ»áÖ´ÐС£Ã¿¸ö»áÔ±ÍÅÌåÈô¶Ô¼¼ÊõίԱ»áµÄijһ¿ÎÌâ¸ÐÐËȤ£¬¾ùÓÐȨ×÷Ϊ´Ë¼¼ÊõίԱ»áµÄ´ú±í¡£ÈκÎÓëISO±£³ÖÁªÏµµÄ¹ú¼Ê×éÖ¯£¬ÎÞÂÛÊÇÕþ¸®µÄ»¹ÊÇ·ÇÕþ¸®µÄ×éÖ¯£¬Í¬Ñù¿É²Î¼Ó´ËÏ×÷¡£ISOÓë¹ú¼ÊµçÆø¼¼ÊõίԱ»á£¨IEC£©ÔÚµçÆø¼¼Êõ±ê×¼»¯·½Ãæ½øÐнôÃܺÏ×÷¡£


¹ú¼Ê±ê×¼²Ý°¸ÓÉÆä¼¼ÊõίԱ»áÈϿɺóË͸÷»áÔ±ÍÅÌå½øÐд«ÔÄ£¬ÒÔ´ý±í¾ö¡£²Ý°¸×÷Ϊ¹ú¼Ê±ê×¼°ä²¼ÖÁÉÙÐèÒª75%µÄ»áÔ±ÍÅÌåͶÔÞ³ÉÆ±¡£


¹ú¼Ê±ê×¼ISO 14644-1ÓÉISO/TC209½à¾»ÊÒ¼°Ïà¹ØÊܿػ·¾³¼¼ÊõίԱ»áÌá³ö¡£


ISO 14644ÔڽྻÊÒ¼°Ïà¹ØÊܿػ·¾³µÄ×ܱêÌâÏ£¬ÓÉÏÂÊö¸÷²¿·Ö×é³É£º

µÚ1²¿·Ö£º¿ÕÆø½à¾»¶ÈµÈ¼¶»®·Ö            

µÚ2²¿·Ö£ºÎªÈÏÖ¤ÓëISO 14644-1Á¬ÐøµÄÏà·ûÐԵIJâÊԺͼà²â¼¼ÊõÒªÇó 

µÚ3²¿·Ö£º¼ÆÁ¿ºÍ²âÊÔ·½·¨                 

µÚ4²¿·Ö£ºÉè¼Æ¡¢Ê©¹¤ºÍÆô¶¯                

µÚ5²¿·Ö£ºÔËÐР                           

µÚ6²¿·Ö£ºÊõÓïºÍ¶¨Òå                   

µÚ7²¿·Ö£ºÔöÇ¿µÄ½à¾»×°Öà              


Óû§Ó¦×¢Ò⣬µÚ2ÖÁµÚ7²¿·ÖµÄ±êÌâΪµÚ1²¿·Ö·¢ÐÐʱµÄ¹¤×÷±êÌâ¡£Èç¹û´Ó¹¤×÷¼Æ»®ÖÐɾ³ýÁËÒ»²¿·Ö»ò¼¸²¿·Ö£¬Ê£Óಿ·Ö¿ÉÒÔÖØÐ±àд¡£


¸½Â¼BºÍCΪISO 14644µÄ×é³É²¿·Ö£¬¸½Â¼A¡¢D¡¢EºÍF½ö×÷×ÊÁÏÓá£


ÒýÑÔ 

½à¾»ÊÒ¼°Ïà¹ØÊܿػ·¾³±£Ö¤¿ÕÆøÖÐÐü¸¡Á£×Ó±»¿ØÖÆÔÚºÏÊʵļ¶±ð£¬ÒÔÈ·±£Íê³É¶ÔÎÛȾÃô¸ÐµÄÓйػ¡£ÒÔÏÂÐÐÒµµÄ²úÆ·ºÍ¹¤ÒÕ¾ùµÃÒæÓÚ¿ÕÆøÖÐÐü¸¡ÎÛȾÎïµÄ¿ØÖÆ£ºº½Ì졢΢µç×Ó¡¢Ò½Ò©¡¢Ò½ÁÆÆ÷е¡¢Ê³Æ·ºÍ±£½¡Æ·¡£

ISO 14644µÄ±¾²¿·ÖÖ¸¶¨ISO·Ö¼¶µÄ¸÷¼¶±ð£¬ÒÔ´Ë×÷Ϊ½à¾»ÊÒ¼°Ïà¹ØÊܿػ·¾³ÄÚ¿ÕÆø½à¾»¶ÈµÄ¼¼ÊõÒªÇó¡£±¾²¿·Ö²»½öÈ·¶¨ÁË¿ÕÆøÖÐÐü¸¡Á£×Ó²âÊԵijÌÐò£¬¶øÇÒÈ·¶¨Á˲âÊԵıê×¼·½·¨¡£

Ϊ»®·ÖµÈ¼¶£¬ISO 14644µÄ±¾²¿·Ö½öÏÞÓÚÈ·¶¨Á£×ÓŨ¶ÈÏÞÖµÓõÄÖ¸¶¨µÄÁ£¾¶·¶Î§¡£±¾²¿·Ö»¹ÌṩÁ˱ê׼ЭÒ飬ÒÔÒÀ¾Ý´óÓÚ»òСÓÚÖ¸¶¨·Ö¼¶ÓÃÁ£¾¶·¶Î§µÄÐü¸¡Á£×ÓŨ¶ÈµÈ¼¶±êʶ¡£

ISO 14644µÄ±¾²¿·ÖΪ½à¾»ÊÒºÍÎÛȾ¿ØÖÆÏµÁбê×¼ÖеÄÒ»¸ö±ê×¼¡£³ýÐü¸¡Á£×ӽྻ¶ÈÖ®Í⣬»¹ÓÐÐí¶àÒòËØ±ØÐëÔڽྻÊÒ¼°ÆäÊܿػ·¾³µÄÉè¼Æ¡¢¼¼ÊõÒªÇó¡¢ÔËÐкͿØÖÆÖÐÓèÒÔ¿¼ÂÇ¡£ÕâЩÄÚÈÝÔÚISO/TC209¼¼ÊõίԱ»áÖÆ¶¨µÄÆäËü¹ú¼Ê±ê×¼ÖÐÓÐÏêϸÂÛÊö¡£

ÔÚijЩÇé¿öÏ£¬ÓйعÜÀí»ú¹¹¿ÉÄÜ»á¹æ¶¨¶¯×÷һЩ²¹³äµÄÕþ²ß»òÏÞÖÆ¡£Õâ¾Í¿ÉÄÜÒªÇó¶Ô±ê×¼µÄ²âÊÔ³ÌÐò×÷Êʵ±µÄÐ޸ġ£


½à¾»ÊÒ¼°Ïà¹ØÊܿػ·¾³¡ªµÚ1²¿·Ö£º

¿ÕÆø½à¾»¶ÈµÄ·Ö¼¶


1 ·¶Î§

ISO 14644µÄ±¾²¿·ÖÊǸù¾Ý¿ÕÆøÖÐÐü¸¡Á£×ÓŨ¶ÈÀ´»®·Ö½à¾»ÊÒ¼°Ïà¹ØÊܿػ·¾³ÖÐ¿ÕÆø½à¾»¶ÈµÄµÈ¼¶¡£Ö»ÓÐÔÚ0.1¦Ìm-0.5¦ÌmµÄãÐÖµ£¨µÍÓÚãÐÖµ£©Á£¾¶·¶Î§ÄÚ³ÊÀÛ»ý·Ö²¼µÄÁ£×ÓȺÌå²Å¿É¹©·Ö¼¶Óá£

ISO 14644µÄ±¾²¿·Ö²»°üº¬0.1¦Ìm-0.5¦Ìm¹æ¶¨Á£¾¶·¶Î§ÒÔÍâµÄÁ£×ÓȺÌåµÄ·Ö¼¶¡£³¬Î¢Á£×Ó£¨£¼0.1¦Ìm£©ºÍ´óÁ£×Ó£¨£¾0.5¦Ìm£©¿É·Ö±ðÒÔUÃèÊö·ûºÍMÃèÊö·ûÀ´Á¿»¯Á£×ÓȺÌå¡£

ISO 14644µÄ±¾²¿·Ö²»ÄÜÓÃÓÚ±íÕ÷Ðü¸¡Á£×ÓµÄÎïÀíÐÔ¡¢»¯Ñ§ÐÔ¡¢·ÅÉäÐÔ»òÉú´æÐÔ¡£


×¢ Á£¾¶×ñ¼ÍÊØ·¨Ôö·¶Î§ÄÚÁ£×ÓŨ¶ÈµÄʵ¼Ê·Ö²¼Çé¿öͨ³£ÊDz»¿ÉÔ¤²âµÄ£¬²¢ÇÒÊÇËæ×Åʱ¼ä¶ø±ä»¯µÄ¡£


2 ¶¨Òå

ÏÂÊö¶¨ÒåÊÊÓÃÓÚISO 14644µÄ±¾²¿·Ö


2.  1 ͨÔò

2.  1.  1 

½à¾»ÊÒ

¿ÕÆøÐü¸¡Á£×ÓŨ¶ÈÊܿصķ¿¼ä¡¢·¿¼äµÄ½¨ÉèºÍʹÓ÷½Ê½Òª¾¡¿ÉÄܼõÉÙÊÒÄÚÒýÈë¡¢²úÉúºÍÖÍÁôÁ£×Ó£¬ÊÒÄÚÆäËüÏà¹Ø²ÎÊýÈçζȡ¢Êª¶ÈºÍѹÁ¦°´ÒªÇó½øÐпØÖÆ¡£


2.  1.  2 

½à¾»Çø

Ðü¸¡Á£×ÓŨ¶ÈÊܿصÄÏÞ¶¨¿Õ¼ä¡£¿Õ¼äµÄ½¨ÉèºÍʹÓ÷½Ê½Òª¾¡¿ÉÄܼõÉÙÇøÄÚÒýÈë¡¢²úÉúºÍÖÍÁôÁ£×Ó£¬¿Õ¼äÄÚÆäËüÏà¹Ø²ÎÊýÈçζȡ¢Êª¶ÈºÍѹÁ¦°´ÒªÇó½øÐпØÖÆ¡£

×¢£º¸ÃÇø¿ÉÒÔÊÇ¿ª·Åʽ»òÊÇÃܱÕʽ£¬¿ÉÒÔλÓÚ»ò²»Î»ÓڽྻÊÒÄÚ¡£


2.  1.  3 

ÉèÊ©

½à¾»ÊÒ»òÒ»¸ö»ò¶à¸ö½à¾»Çø£¬Á¬Í¬ËùÓÐÏà¹ØµÄ¹¹ÖþÎï¡¢¿ÕÆø´¦Àíϵͳ¡¢¶¯Á¦ºÍ¹«ÓÃÉèÊ©¡£


2.  1.  4 

·Ö¼¶

ÊÊÓÃÓÚÒ»¸öµÄÐü¸¡Á£×ӽྻ¶ÈµÈ¼¶£¨»ò¹æ¶¨»òÈ·¶¨¸ÃµÈ¼¶µÄ¹ý³Ì£©£¬ÒÔISOµÈ¼¶NÀ´±íʾ£¬Ëü±íʾËù¿¼ÂǵÄÁ£¾¶µÄ×î´óÔÊÐíŨ¶È£¨ÒÔpc/m3¿ÕÆø¼Æ£©¡£

×¢1  ´ËŨ¶ÈÓÃ3.2ÖеĹ«Ê½£¨1£©È·¶¨¡£

×¢2  °´ÕÕ±¾¹ú¼Ê±ê×¼½øÐзּ¶£¬ÏÞ¶¨ÔÚISO 1¼¶ÖÁISO 9¼¶¡£

×¢3  ÊÊÓÃÓÚ°´±¾¹ú¼Ê±ê×¼·Ö¼¶µÄÁ£¾¶£¨µÍãÐÖµ£©·¶Î§ÏÞÓÚ0.1¦Ìm-0.5¦Ìm¡£·Ö¼¶·¶Î§Ö®ÍâµÄãÐÖµÁ£¾¶Ö®¿ÕÆø½à¾»¶È¿ÉÒÔÓÃU»òMÃèÊö·û£¨¼û2.3.1»ò2.3.2£©À´ËµÃ÷ºÍ¹æ¶¨£¨µ«²»ÊÇ·Ö¼¶£©¡£

×¢4  ISO·Ö¼¶¿ÉÒԹ涨ÖмäµÈ¼¶ºÅ£¬ÓÃ×îСÔÊÐíµÝÔöÖµ0.1£¬¹æ¶¨Îª×ÔISO 1.1ÖÁ8.9¼¶¡£

×¢5  µÈ¼¶¿ÉÒÔ°´3ÖÖÕ¼ÓÃ״̬£¨¼û2.4£©¹æ¶¨»òʵÏÖ¡£


2.  2 Ðü¸¡Á£×Ó

2.  2.  1

Á£×Ó

ÓÃÓÚ¿ÕÆø½à¾»¶È·Ö¼¶µÄ¹ÌÌå»òÒºÌåÎÆäÁ£¾¶ãÐÖµ£¨µÍÏÞ£©·¶Î§ÔÚ0.1¦Ìm-0.5¦Ìm£¬²¢³ÊÀÛ»ý·Ö²¼¡£


2.  2.  2

Á£¾¶

Óɸø¶¨µÄÁ£¾¶²â¶¨ÒÇÏìÓ¦³ö£¨Óë±»²âÁ£×Ó×÷³öµÄÏìÓ¦µ±Á¿£©µÄÇòÌåµÄÖ±¾¶¡£

×¢ ÀëÉ¢Á£×Ó¼ÆÊýºÍ¹âÉ¢ÉäÒÇÆ÷ʹÓõ±Á¿¹âѧֱ¾¶¡£


2.  2.  3

Á£×ÓŨ¶È

µ¥Î»Ìå»ý¿ÕÆøÖеĵ¥¸öÁ£×ÓÊý¡£


2.  2.  4

Á£¾¶·Ö²¼

×÷ΪÁ£¾¶º¯ÊýµÄÁ£×ÓŨ¶ÈÖ®ÀÛ»ý·Ö²¼¡£


2.  2.  5

³¬Î¢Á£×Ó

µ±Á¿Ö±¾¶Ð¡ÓÚ0.1¦ÌmµÄÁ£×Ó¡£


2.  2.  6

´óÁ£×Ó

µ±Á¿Ö±¾¶´óÓÚ0.5¦ÌmµÄÁ£×Ó


2.  2.  7

ÏËά

³¤¿í±ÈµÈÓÚ»ò´óÓÚ10µÄÁ£×Ó¡£


2.  3  ÃèÊö·û

2.  3.  1

UÃèÊö·û

²âµÃ»ò¹æ¶¨µÄÁ£×ÓŨ¶È£¬¼´º¬³¬Î¢Á£×ÓµÄŨ¶ÈÒÔpc/m3¿ÕÆø¼Æ;

×¢  UÃèÊö·û¿ÉÈÏΪÊDzÉÑùµãƽ¾ùÖµµÄÉÏÏÞ£¨»òÖÃÐÅÉÏÏÞ£¬È¡¾öÓÚÓÃÓÚÈ·¶¨½à¾»ÊÒ»ò½à¾»ÇøÌØÐԵIJÉÑùµãÊýÄ¿£©²»ÄÜÓÃUÃèÊö·ûÀ´¶¨ÒåÇÒÐü¸¡Á£×ӽྻ¶ÈµÈ¼¶£¬µ«¿ÉÒÔµ¥¶ÀÒýÓûòÓëÐü¸¡Á£×ӽྻ¶ÈµÈ¼¶Ò»ÆðÒýÓá£


2.  3.  2

MÃèÊö·û

²âµÃ»ò¹æ¶¨µÄÿm3¿ÕÆøÖдóÁ£×ÓµÄŨ¶È£¬ÒÔ×÷ΪËùÓòâÊÔ·½·¨ÌØÐԵĵ±Á¿Ö±¾¶À´±íʾ¡£

×¢  MÃèÊö·û¿ÉÈÏΪÊDzÉÑùµãƽ¾ùÖµµÄÉÏÏÞ£¨»òÖÃÐÅÉÏÏÞ£¬È¡¾öÓÚÓÃÓÚÈ·¶¨½à¾»ÊÒ»ò½à¾»ÇøÌØÐԵIJÉÑùµãÊýÄ¿£©²»ÄÜÓÃMÃèÊö·ûÀ´¶¨ÒåÐü¸¡Á£×ӽྻ¶ÈµÈ¼¶£¬µ«¿ÉÒÔµ¥¶ÀÒýÓûòÓëÐü¸¡Á£×ӽྻ¶ÈµÈ¼¶Ò»ÆðÒýÓá£


2.  4  Õ¼ÓÃ״̬

2.  4.  1

¿Õ̬

ÉèÊ©ÒѾ­½¨³É£¬ËùÓж¯Á¦½Óͨ²¢ÔËÐУ¬µ«ÎÞÉú²úÉ豸¡¢²ÄÁÏ»òÈËÔ±ÔÚ³¡¡£


2.  4.  2

¾²Ì¬

ÉèÊ©ÒѾ­½¨³É£¬Éú²úÉ豸ÒѾ­°²×°ºÃ£¬²¢ÒÔÓû§ºÍ¹©Ó¦ÉÌͬÒâµÄ·½Ê½ÔËÐУ¬µ«Ã»ÓÐÈËÔ±ÔÚ³¡¡£


2.  4.  3

¶¯Ì¬

ÉèÊ©ÒԹ涨µÄ·½Ê½ÔËÐУ¬Óй涨ÊýÄ¿µÄÈËÔ±ÔÚ³¡£¬²¢ÒÔË«·½Í¬ÒâµÄ·½Ê½½øÐй¤×÷¡£

±í1  ½à¾»ÊÒ¼°½à¾»ÇøÑ¡ÁеÄÐü¸¡Á£×ӽྻ¶ÈµÈ¼¶

ISOµÈ¼¶ÐòÊý£¨N£©

´óÓÚ»òµÈÓÚ±íÖб»¿¼ÂǵÄÁ£¾¶µÄ×î´óŨ¶ÈÏÞÖµ

£¨pc/m3¿ÕÆøÅ¨¶ÈÏÞÖµ°´3.2ÖеĹ«Ê½¼ÆË㣩

0.1¦Ìm

0.2¦Ìm

0.3¦Ìm

0.5¦Ìm

1¦Ìm

5¦Ìm

ISO Class 1

10

2





ISO Class 2

100

24

10

4



ISO Class 3

1 000

237

102

35

8


ISO Class 4

10 000

2 370

1 020

352

83


ISO Class 5

100 000

23 700

10 200

3 520

832

29

ISO Class 6

1 000 000

237 000

102 000

35 200

8 320

293

ISO Class 7




352 000

83 200

2 930

ISO Class 8




3 520 000

832 000

29 300

ISO Class 9




35 200 000

8 320 000

293 000

×¢£ºÓÉÓÚÉæ¼°²âÁ¿¹ý³ÌµÄ²»È·¶¨ÐÔ£¬°ïÒªÇóÓÃÈý¸öÓÐЧµÄÊý¾ÝÀ´È·¶¨Å¨¶ÈµÈ¼¶Ë®Æ½¡£

2.  5   ½ÇÉ«

2.  5.  1

Óû§

¸ºÔð¹æ¶¨½à¾»ÊÒ»ò½à¾»ÇøµÄÒªÇóµÄ×éÖ¯»òÆä´úÀí¡£

2.  5.  2

¹©Ó¦ÉÌ

±»Æ¸ÓÃÀ´Âú×ã¹æ¶¨µÄ½à¾»ÊÒ»ò½à¾»ÇøµÄÒªÇóµÄ×éÖ¯¡£


3  µÈ¼¶

3.  1

Õ¼ÓÃ״̬

½à¾»ÊÒ»ò½à¾»ÇøÄÚ¿ÕÆøµÄÁ£×ӽྻ¶ÈÓ¦°´¡°¿Õ̬¡±¡¢¡°¾²Ì¬¡±ºÍ¡°¶¯Ì¬¡±ÈýÖÖÕ¼ÓÃ״̬ÖеÄÒ»ÖÖ»òÈýÖÖ£¨¼û2.4£©½øÐж¨Òå¡£

×¢ Ó¦ÈÏʶµ½¡°¿Õ̬¡±ÊÊÓÃÓÚн¨³ÉµÄ»òз¢ÐеĽྻÊÒ»ò½à¾»Çø¡£¶Ô¡°¿Õ̬¡±µÄ²âÊÔÍê³Éºó£¬¼´Ó¦½øÒ»²½²âÊÔ¡°¾²Ì¬¡±»ò¡°¶¯Ì¬¡±»òÁ½ÖÖ״̬¡£


3.  2 

µÈ¼¶¼¶±ð

¿ÕÆøÖÐÐü¸¡Á£×ӽྻ¶ÈÒԵȼ¶ÐòÊýNÃüÃû¡£¸÷ÖÖ±»¿¼ÂÇÁ£¾¶DµÄÁ£×ÓCnµÄ×î´óÔÊÐíŨ¶ÈÓÃÏÂÊö¹«Ê½È·¶¨£º

Ũ¶È¼ÆË㹫ʽ

¹«Ê½ÖУ¬

Cn  ¡ª´óÓÚ»òÐÐÓÚ±»¿¼ÂÇÁ£¾¶µÄÁ£×Ó×î´óÔÊÐíŨ¶È£¨pc/m3¿ÕÆø£©¡£CnÒÔÓÐЧÊýΪ3λËÄÉáÎåÈëµ½×î¿¿½üµÄÕûÊý¡£

N ¡ªISOµÈ¼¶¼¶±ð£¬×î´ó²»³¬¹ý9¡£ISOµÈ¼¶¼¶±ðNÖ®¼äµÄÖмäÊý¿ÉÒÔ°´0.1Ϊ×îСÔÊÐíµÝÔöÖµ½øÐй涨¡£

D  ¡ªÒÔ΢Ã×£¨¦Ìm£©¼ÆµÄ±»Ñ¡Á£¾¶¡£

0.1 ¡ªÎªÒ»³£Êý£¬±íʾÒÔ΢Ã×£¨¦Ìm£©¼ÆµÄÁ¿¸Ù¡£

±í1±íʾµÄÊDZ»Ñ¡ÔñµÄÐü¸¡Á£×ӽྻ¶ÈµÈ¼¶ºÍ´óÓÚ»òµÈÓÚ±íÖÐËù¿¼ÂÇÁ£¾¶µÄÁ£×ÓÖ®ÏàӦŨ¶ÈÏÞÖµ¡£Í¼A.1£¨¼û¸½Â¼A£©ÒÔͼ½âÐÎʽ±íʾ³öËùÑ¡µÄµÈ¼¶¡£ÔÚÓÐÕùÒéµÄÇé¿öÏ£¬´Ó¹«Ê½£¨1£©Öеõ½µÄŨ¶ÈCnÓ¦×÷Ϊ±ê×¼Öµ¡£


3.  3  ÃüÃû

½à¾»ÊÒ»ò½à¾»ÇøµÄÐü¸¡Á£×ӽྻ¶ÈµÄÃüÃûÓ¦°üÀ¨£º

a£© µÈ¼¶¼¶±ð£¬ÒÔ¡°ISO Class N¡±±íʾ£º

b£© ·Ö×éʱµÄÕ¼ÓÃ״̬£º

c£© °´·Ö¼¶¹«Ê½£¨1£©²â¶¨µÄ±»¿¼ÂÇÁ£¾¶£¬¸÷±»¿¼ÂÇÁ£¾¶µÄãÐÖµ¾ùÔÚ0.1¦Ìm-0.5¦ÌmµÄ·¶Î§ÄÚ¡£

ÃüÃûʵÀý£º

ISO Class 4£º¶¯Ì¬£º±»¿¼ÂÇÁ£¾¶£º0.2¦Ìm£¨2370pc/m3£©£¬1¦Ìm£¨83pc/m3£©

²âÁ¿Å¨¶ÈµÄ±»¿¼ÂÇÁ£¾¶Ó¦µÃµ½Óû§ºÍ¹©Ó¦ÉÌË«·½µÄͬÒâ¡£

Èç¹û²âÁ¿Ò»¸öÒÔÉϵı»¿¼ÂÇÁ£¾¶£¬¸÷½Ï´óµÄÁ£¾¶£¨ÈçD2£©Ó¦ÖÁÉÙΪÏÂÒ»¸ö½ÏСÁ£¾¶£¨ÈçD1£©µÄ1.5±¶¡£

¼´£ºD2¡Ý 1.5 ¡ÁD1


4    Ïà·ûÐÔÈÏÖ¤

4.  1Ô­Ôò

ͨ¹ýÖ´ÐÐÓû§ºÍ¹©Ó¦ÉÌË«·½Í¬ÒâµÄÖ¸¶¨µÄ²âÊÔ³ÌÐò£¬²¢Ìṩ¹ØÓÚ²âÊÔÌõ¼þºÍ²âÊÔ½á¹ûµÄ¹æ¶¨Îļþ£¬ÈÏÖ¤ÊÇ·ñ·ûºÏÓû§¹æ¶¨µÄ¿ÕÆø½à¾»¶È£¨ISO class£©ÒªÇó¡£

4.  2²âÊÔ

¸½Â¼BÖиø³öÁËÈÏÖ¤Ïà·ûÐԵĻù×¼²âÊÔ·½·¨¡£Ò²¿ÉÒԹ涨ÆäËüÓÐÀàËÆ×¼È·ÐԵķ½·¨£¬Èç¹ûûÓÐ¾ÍÆäËü·½·¨×÷³ö¹æ¶¨»ò´ï³ÉÒ»ÖÂÒâ¼û£¬ÔòÓ¦¸ÃÓûù×¼·½·¨¡£

Ó¦²ÉÓþ­¹ýУÉá×¼µÄʳƷ½øÐÐÏà·ûÐÔÈÏÖ¤²âÊÔ¡£

4.  3Ðü¸¡Á£×ÓŨ¶ÈÏÞÖµ

°´4.2Íê³É²âÊԺ󣬰´¸½Â¼CÖеĹ«Ê½¼ÆËãÆ½¾ùÁ£×ÓŨ¶ÈºÍ95%ÖÃÐÅÉÏÏÞ£¨ÊÊÓÃÇé¿öÏ£©¡£

°´¹«Ê½£¨C.1£©¼ÆËã³öµÄƽ¾ùÁ£×ÓŨ¶È²»Ó¦³¬¹ýÓÃ3.2Öй«Ê½£¨1£©È·¶¨µÄŨ¶ÈÏÞÖµ£¬Æä±»¿¼ÂÇÁ£ºÜÓ¦·ûºÏ[3.3  c]µÄ¹æ¶¨¡£

´ËÍ⣬Èç¹û²ÉÑùµãÊýÄ¿ÖÁÉÙΪ2¸ö£¬µ«²»³¬¹ý9¸ö£¬Ôò°´C.3¼ÆËãµÄ95%ÖÃÐÅÉÏÏÞ²»Ó¦³¬¹ýÉÏÃæÈ·¶¨µÄŨ¶ÈÏÞÖµ¡£

×¢ ¸½Â¼DÖиø³öµÈ¼¶¼ÆËãµÄ¹¤×÷ʵÀý¡£

¶ÔÓÚ¸÷ÖÖ±»¿¼ÂÇÁ£¾¶Ó¦ÓÃÏàͬ·½·¨À´²â¶¨£¬ÓÃÓÚÈÏÖ¤µÈ¼¶Á£×ÓŨ¶ÈÏÞÖµ¾ßÓÐÒ»ÖÂÐÔ¡£

4.  4  ²âÊÔ±¨¸æ

¸÷½à¾»ÊÒ»ò½à¾»ÇøµÄ²âÊÔ½á¹û¾ùÓ¦¼Ç¼£¬Ó¦ÒÔ×ۺϱ¨¸æÐÎʽÌá½»£¬²¢ËµÃ÷ÊÇ·ñ·ûºÏ¹æ¶¨µÄÊǸ¡Á£×ӽྻ¶ÈÃüÃûµÈ¼¶¡£

²âÊÔ±¨¸æÓ¦°üÀ¨ÏÂÊö¸÷ÏîÄÚÈÝ£º

a£©  ²âÊÔ×éÖ¯µÄÃû³Æ¡¢µØÖ·ºÍ½øÐвâÊÔµÄÈÕÆÚ£»

b£©  ISO 14644±¾²¿·ÖµÄ³ö°æ±àºÅºÍÄê´ú£¬¼´ISO 14644-1£ºµ±Ç°°æÈÕÆÚ£»

c£©  Ã÷È·±êÃ÷±»²â½à¾»ÊÒ»ò½à¾»ÇøµÄʵ¼ÊλÖ㨱ØÒªÊ±°üÀ¨ÁÙ½üµÄ²ÎÕÕÇø£©¼°ËùÓвÉÑù    µã×ø±êµÄ¾ßÌå±ê×¢£»

d£©  ¹æ¶¨µÄ¶Ô½à¾»ÊÒ»ò½à¾»ÇøÃüÃû×¼Ôò£¬°üÀ¨ISOµÈ¼¶¡¢Ïà¹ØµÄÕ¼ÓÃ״̬ºÍ±»¿¼ÂÇÁ£¾¶£»

e£©  ²âÊÔ·½·¨µÄÏêϸ˵Ã÷£¬°üÀ¨Óë²âÊÔÓйصĻòÆ«Àë²âÊÔ·½·¨µÄÌØÊâÌõ¼þ£¬¼°²âÊÔʳƷºÏ¸ñÖ¤ºÍ×î½üµÄ±ê¶¨Ö¤Ê飻

f£©   ²âÊÔ½á¹û£¬º¬¸÷²ÉÑùµã×ø±êµÄÁ£×ÓŨ¶ÈÊý¾Ý¡£

×¢ Èç¹û³¬Î¢Á£×Ó»ò´óÁ£×ÓµÄŨ¶ÈÒѾ­°´¸½Â¼EµÄ˵Ã÷½øÐÐÁËÁ¿»¯£¬Êʵ±µÄ×ÊÁÏÓ¦°üº¬ÔÚ²âÊÔ±¨¸æÖС£



ISO14644-1£¨¸½Â¼²¿·ÖÖÐÎÄ·­Ò룩

¸½Â¼A

£¨×ÊÁÏ£©


±í1Öеȼ¶µÄͼ½âÐÎʽ 

ͼA.1Ϊͼ½âÐÎʽ˵Ã÷±í1ÖÐµÄ¿ÕÆø½à¾»¶ÈµÈ¼¶£¬½ö¹©ÑÝʾÓᣱí1ÖеÄISO´ýÅúµÈ¼¶ÔÚ´ËÓÃÏßÌõ±íʾ³ö¸ÃµÈ¼¶µÄ±»¿¼ÂÇãÐÖµÁ£¾¶µÄŨ¶ÈÏÞÖµ£¬ÆäÒÀ¾ÝÊÇÓÃ3.2Öй«Ê½£¨1£©½øÐеļÆËã¡£ÓÉÓÚÏßÌõ±íʾµÄ½öÊǽüËÆµÄµÈ¼¶ÏÞÖµ£¬Òò´Ë²»µÃÓÃÓÚ¶¨ÒåÏÞÖµ¡£ÏÞÖµÖ»Äܰ´ÕÕ¹«Ê½£¨1£©È·¶¨¡£

ͼʾµÄµÈ¼¶Ïß²»¿ÉÍâÍÆ³¬¹ýʵÐÄÔ²·ûºÅ¡£ÊµÐÄÔ²·ûºÅÊÇËùʾ¸÷ISOµÈ¼¶ÈϿɵÄ×î´óºÍ×îСÁ£¾¶ÏÞÖµ¡£

µÈ¼¶Ïß²»´ú±íÔڽྻÊÒ»ò½à¾»ÇøÄÚ³ÊÏÖµÄʵ¼ÊÁ£¾¶·Ö²¼¡£

iso14644½à¾»¶ÈµÈ¼¶±í

×¢1   Cn±íʾ´óÓÚ»òÐÐÓÚ±»¿¼ÂÇÁ£¾¶µÄÐü¸¡Á£×Ó×î´óÔÊÐíŨ¶È£¨pc/m3¿ÕÆø£©¡£

×¢2   N±íʾ¹æ¶¨µÄISOµÈ¼¶¼¶±ð¡£



¸½Â¼B

£¨±ê×¼²¿·Ö£© 


²ÉÓÃÀëÉ¢Á£×Ó¼ÆÊýºÍ¹âÉ¢ÉäÒÇÆ÷È·¶¨Î¢Á£½à¾»¶ÈµÄµÈ¼¶ 

B£®1 Ô­Àí

     Ê¹ÓÃÀëÉ¢Á£×Ó¼ÆÊýºÍ¹âÉ¢ÉäÒÇÆ÷È·¶¨ÔÚÖ¸¶¨µÄ²ÉÑùµãÉÏ´óÓÚ»òµÈÓڹ涨Á£¾¶µÄÐü¸¡Á£×ÓµÄŨ¶È¡£

B£®2 ÒÇÆ÷ÒªÇó

B£®2£®1  Á£×Ó¼ÆÊýÒÇ

    ÀëÉ¢Á£×Ó¼ÆÊýÆ÷£¨DPC£©ÊÇÒ»ÖÖ¹âÉ¢Éä×°Ö㬾ßÓÐÏÔʾ»ò¼Ç¼¿ÕÆøÖÐÀëÉ¢Á£×ÓµÄÊýÄ¿ºÍÁ£¾¶µÄÄÜÁ¦ºÍÁ£¾¶¼ø±ðÄÜÁ¦£¬¿É¼ì²âµ½±»²â¼¶±ðÖ®Êʵ±Á£¾¶·¶Î§ÄÚµÄ×ÜÁ£×ÓŨ¶È£¬ÒÔ¼°Êʵ±µÄ²ÉÑùϵͳ¡£

B£®2£®2  ÒÇÆ÷±ê¶¨

    ÒÇÆ÷Ó¦¸ÃÓÐÓÐЧµÄ±ê¶¨Ö¤Ê飻±ê¶¨µÄƵÂʺͷ½·¨Ó¦°´ÏÖÐй«ÈϵĹ涨ִÐС£

B£®3 Ô¤²âÊÔÌõ¼þ

B£®3£®1  ²âÊÔ×¼±¸

²âÊÔǰ£¬Ó¦°´ÕÕ¼¼ÊõÐÔÄÜÒªÇóÈÏÖ¤½à¾»ÊÒ»ò½à¾»Çø×÷Ϊһ¸öÔËÐеÄÕûÌ壬ÊÇÍêÕûµÄ¡¢¹¦ÄÜÊÇÕý³£µÄ¡£

Ô¤²âÊÔ¹¤×÷Ò»°ã°üÀ¨£º

a) ¿ÕÆøÁ÷Á¿»òÁ÷ËÙ²âÊÔ£»

b) ¿ÕÆøÑ¹²î²âÊÔ£»

c) Î§»¤½á¹¹Ð¹Â©²âÊÔ£»

d) ×°ºÃµÄ¹ýÂËÆ÷й©²âÊÔ¡£

B£®3£®2  Ô¤²âÊÔÉ豸ÅäÖÃ

    °´ÕÕÖÆÔì³§µÄ˵Ã÷Êé½øÐÐÉ豸ÅäÖúÍÒÇÆ÷µÄÔ¤²âÊԱ궨¡£

B£®4 ²ÉÑù

B£®4£®1 È·¶¨²ÉÑùµãλÖÃ

B£®4£®1£®1

    °´¹«Ê½£¨B.1£©Çó³ö×îÉٵIJÉÑùµãÊýÄ¿£º

                                                            

£¨B.1£©Ê½ÖУ¬

NL ¡ª×îÉÙ²ÉÑùµãÊý£¨ËÄÉáÎåÈëΪÕûÊý£©¡£

A   ¡ª½à¾»ÊÒ»ò½à¾»ÇøµÄÃæ»ý£¬ÒÔM2¼Æ¡£

×¢ ÔÚˮƽµ¥Ïò²ãÁ÷ʱ£¬Ãæ»ýA¿ÉÒÔ¿´×÷ÊÇÓëÆøÁ÷·½Ïò³Ê´¹Ö±Á÷¶¯µÄ¿ÕÆøµÄ½ØÃæ»ý¡£

B£®4£®1£®2 

    Òª±£Ö¤²ÉÑùµã¾ùÔÈ·Ö²¼ÓÚÕû¸ö½à¾»ÊÒ»ò½à¾»ÇøÄÚ£¬²¢Î»ÓÚ¹¤×÷»î¶¯µÄ¸ß¶È¡£

    Èç¹ûÓû§¹æ¶¨Ôö¼Ó²ÉÑùµã£¬ÆäÊýÄ¿ºÍλÖÃÒ²Ó¦×÷³ö¹æ¶¨¡£

×¢ Ôö¼ÓµÄ²ÉÑùµã¿ÉÈÏΪÊÇ·çÏÕ·ÖÎöµÄ¹Ø¼ü¡£

B£®4£®2  È·¶¨¸÷²ÉÑùµãµÄÿ´Î²ÉÑùÁ¿

B£®4£®2£®1 Ö¸¶¨µÄISOµÈ¼¶Èç×î´ó±»¿¼ÂÇÁ£¾¶µÄÁ£×ÓŨ¶ÈµÄÏÞֵʱ£¬ÔÚÿ¸ö²ÉÑùµãÒª²É¼¯×ã¹»µÄ¿ÕÆøÁ¿£¬±£Ö¤Äܼì²â³öÖÁÉÙ20¸öÁ£×Ó¡£

   Ã¿¸ö²ÉÑùµãµÄÿ´Î²ÉÑùÁ¿VSÓÃÏÂʽȷ¶¨£º

                                    

(B.2)ʽÖУ¬

VS     ¡ª¡ªÃ¿¸ö²ÉÑùµãÿ´Î×îÉÙ²ÉÑùÁ¿£¬ÓÃÉý±íʾ£¨B£®4£®2£®2ÖеÄÇé¿ö³ýÍ⣩¡£

Cn.m  ¡ª¡ªÎªÏà¹ØµÈ¼¶¹æ¶¨µÄ×î´ó±»¿¼ÂÇÁ£¾¶Ö®µÈ¼¶ÏÞÖµ£¨pc/m3¿ÕÆø£©¡£

20      ¡ª¡ªµ±Á£×ÓŨ¶È´¦Óڸõȼ¶ÏÞֵʱ£¬¿É±»¼ì²âµ½µÄÁ£×ÓÊý¡£

×¢£ºVSÖµºÜ´óʱ£¬ÐèÒªµÄ²ÉÑùʱ¼ä¿ÉÄÜ»áºÜ³¤¡£ÀûÓÃ˳Ðò²ÉÑù³ÌÐò£¨¼û¸½Â¼F£©¼È¿ÉÒÔ¼õÉÙÒªÇóµÄ²ÉÑùÁ¿£¬ÓÖ¼õÉÙ²ÉÑùÐèÒªµÄʱ¼ä¡£

B£®4£®2£®2 

   Ã¿¸ö²ÉÑùµãµÄ²ÉÑùÁ¿ÖÁÉÙΪ2Éý£¬²ÉÑùʱ¼ä×îÉÙΪ1·ÖÖÓ¡£

B£®4£®3 ²ÉÑù³ÌÐò

B£®4£®3£®1

  °´ÕÕ³§¼Ò˵Ã÷ÊéºÍÒDZí±ê¶¨Ö¤Ê飬µ÷¶¨Á£×Ó¼ÆÊýÆ÷£¨B2.1£©

B£®4£®3£®2

  ²ÉÑù̽ͷµÄλÖÃÓ¦²åÈë¿ÕÆøÁ÷¡£Èô±»²ÉÑùµÄÆøÖÊ·½ÏòÊÇδÊܿصĻò²»¿ÉÔ¤¼ÆµÄ£¨Èç·Çµ¥ÏòÁ÷£©£¬²ÉÑù¿ØÍ·µÄÈë¿ÚÓ¦´¹Ö±Ö¸ÏòÉÏ·½¡£

B£®4£®3£®3

   Ã¿¸ö²ÉÑùµã£¬°´B4¡£2È·¶¨µÄ×îС²ÉÑùÁ¿²ÉÑù¡£

B£®4£®3£®4

   µ±Ö»ÒªÇóÒ»¸ö²ÉÑùµãʱ£¨B4.1£©£¬ÔòÔڸõã×îÉÙ½øÐÐÈý´Î²ÉÑù¡£

B£®5 ½á¹û¼Ç¼

B£®5£®1 ¸÷²ÉÑùµãµÄÁ£×ÓÆ½¾ùŨ¶È

B£®5£®1£®1

   °Ñÿ´Î²ÉÑù²âÁ¿µÄ½á¹ûÓë¿ÕÆø½à¾»¶ÈµÈ¼¶Ïà¹ØµÄ¸÷¸ö±»¿¼ÂÇÁ£¾¶µÄŨ¶È£¨3.3£©¼Ç¼ÏÂÀ´¡£

×¢ ÔÚ½øÐÐ95%ÖÃÐÅÉÏÏ޵ļÆËã֮ǰ£¬Ó¦B6.1µÄÒªÇó¡£

B£®5£®1£®2

   µ±Ö»ÓÃÒ»¸ö²ÉÑùµãʱ£¬¼ÆËã²¢¼Ç¼¸÷±»¿¼ÂÇÁϾ¶µÄ²ÉÑùÊý¾Ýƽ¾ùÖµ£¨B£®4£®3£®4£©¡£

B£®5£®1£®3

   µ±ÔÚÒ»¸ö²ÉÑùµãÉϲɼ¯2´ÎÒÔÉϲÉÑùʱ£¬°´ÕÕC.2Öиø¶¨µÄ³ÌÐò£¬´Óÿ´Î²ÉÑùÁ£×ÓŨ¶È£¨B£®5£®1£®1£©¼ÆËã¸÷²ÉÑùµã±»¿¼ÂÇÁ£¾¶µÄƽ¾ùÁ£×ÓŨ¶È£¬²¢¼Ç¼Ï½á¹û¡£

B£®5£®2 ¼ÆËã95%ÖÃÐÅÉÏÏÞ£¨UCL£©µÄÒªÇó

B£®5£®2£®1 

   µ±²ÉÑùµÄµã¶àÓÚ1¸ö£¬ÉÙÓÚ10¸öʱ£¬°´ÕÕC.3Öиø¶¨µÄ³ÌÐò£¬´ÓËùÓи÷µãµÄƽ¾ùÁ£×ÓŨ¶È£¨B£®5£®1£©¼ÆËãÆ½¾ùÖµ¡¢±ê×¼Îó²îºÍ95%ÖÃÐÅÉÏÏÞ¡£

B£®5£®2£®2

   ÔÚ²ÉÑùµãÖ»ÓÐ1¸ö£¬»ò¶àÓÚ9¸öʱ£¬²»ÓüÆËã95%ÖÃÐÅÉÏÏÞ¡£


B£®6 ÕûÀí

B£®6£®1 ·Ö¼¶ÒªÇó

   Èç¹ûÔÚ¸÷²ÉÑùµã²âµÃµÄÁ£×ÓŨ¶Èƽ¾ùÖµ¼°°´ÕÕB£®5£®2¼ÆËãµÄ95%ÖÃÐÅÉÏÏÞ䳬¹ý°´3.2Öй«Ê½£¨1£©È·¶¨µÄŨ¶ÈÏÞÖµ£¬¸Ã½à¾»ÊÒ»ò½à¾»Çø¼´±»ÈÏΪÊÇ´ïµ½Á˹涨µÄ¿ÕÆø½à¾»¶È¼¶±ð¡£

   Èç¹û²âÊÔ½á¹ûδÄÜÂú×ã¹æ¶¨µÄ¿ÕÆø½à¾»¶È¼¶±ð£¬¿ÉÔö¼Ó¾ùÔÈ·Ö²¼µÄ²ÉÑùµã½øÐвâÊÔ¡£ÔٴμÆËãµÄ½á¹û£¬°üÀ¨Ôö¼ÓµÄ²ÉÑùµãµÄÊý¾Ý£¬ÅжÏÈ·Á¢½à¾»¶ÈµÈ¼¶¡£

B£®6£®2 ½çÍâÖµµÄ´¦Àí

    95%ÖÃÐÅÉÏÏÞ£¨UCL£©¼ÆËã½á¹û¿ÉÄÜûÄÜÂú×ã¹æ¶¨µÄISOµÈ¼¶¡£Èç¹ûÊÇÒòΪ£¨³ÌÐòÉϵÄÎó²î»òÉ豸¹¦Äܲ»Á¼Ôì³ÉµÄ£©²âÁ¿²î´í»ò£¨ÓÉÓÚ¿ÕÆøÒì³£µÄ½à¾»¶øµ¼Ö£©Òì³£µÍµÄÁ£×ÓŨ¶È£¬¶ø²úÉúµ¥¸öµÄ¡¢·ÇËæ»úÐԵġ°½çÍâÖµ¡±£¬ÔÚ·ûºÏÏÂÊöÌõ¼þµÄÇé¿öÏ£¬¿ÉÒ԰ѸýçÍâÖµÅųý²»¼Æ£º

    a) °üÀ¨ËùÓÐÆäÓà²ÉÑùµãµÄ¼ÆËãÊÇÖØ¸´½øÐеģ»

    b) ¼ÆËãÖÐÖÁÉÙ±£ÁôÓÐ3´Î²âÁ¿Öµ£»

    c) ¼ÆËãÖÐÖÁ¶àÖ»ÓÐ1¸ö²âÁ¿ÖµÅųýÔÚÍ⣻

    d) ÓÐÎó²îµÄ²âÁ¿»òÁ£×ÓŨ¶ÈµÍµÄÍÆ²âÔ­ÒòÓÉÓû§ºÍ¹©Ó¦ÉÌÈϿɣ¬²¢ÒÔÎļþ¼Ç¼ÏÂÀ´¡£

×¢ ÔÚ²ÉÑùµã£¬Á£×ÓŨ¶ÈÖµµÄ½Ï´ó²îÒì¿ÉÄÜÊǺÏÀíµÄ£¬ÉõÖÁÊÇÓÐÒâÔì³ÉµÄ£¬ÕâÈ¡¾öÓÚ´ý²â½à¾»ÉèÊ©µÄÓ¦ÓÃÐÔÖÊ¡£



¸½Â¼C

£¨±ê×¼²¿·Ö£© 


Á£×ÓŨ¶ÈÊý¾ÝµÄͳ¼Æ´¦Àí 

C£®1 Í¨Ôò

   Í³¼Æ·ÖÎöÖ»¿¼ÂÇËæ»úÎó²î£¨È±·¦¾«¶È£©£¬²»¿¼ÂÇ·ÇËæ»úÎó²î£¨È磬ÓëÎó²î±ê¶¨ÓÐ¹ØµÄÆ«²î£©¡£

C£®2 ¼ÆËãijһ²ÉÑùµã£¨Xi£©µÄƽ¾ùÁ£×ÓŨ¶ÈµÄËã·¨

   µ±ÔÚÒ»¸ö²ÉÑùµã½øÐжà´Î²ÉÑùʱ£¬Ó¦¸ÃÓù«Ê½£¨C.1£©À´È·¶¨¸ÃµãµÄƽ¾ùÁ£×ÓŨ¶È¡£Æ½¾ùÁ£×ÓŨ¶ÈµÄ¼ÆËãÓ¦¸ÃÔÚ²ÉÑù´ÎÊýΪ2´ÎÒÔÉϵĸ÷¸ö²ÉÑùµã½øÐС£

                                                

 (C.1)ʽÖУ¬

Xi  ¡ª¡ª²ÉÑùµãi£¨´ú±íÈκÎλÖ㩵Äƽ¾ùÁ£×ÓŨ¶È

Xi¡£1 ¡ª¡ªÃ¿´Î²ÉÑùµÄÁ£×ÓŨ¶È

n   ¡ª¡ªÔÚ²ÉÑùµãiµÄ²ÉÑù´ÎÊý

C£®3 ¼ÆËã95%ÖÃÐÅÉÏÏÞµÄËã·¨

C£®3£®1 Í¨Ôò

    ±¾·½·¨Ö»ÊÊÓÃÓÚ²ÉÑùµãΪ1¸öÒÔÉÏ£¬10¸öÒÔϵÄÇé¿ö¡£ÔÚÕâÖÖÇé¿öÏ£¬Ó¦¸ÃʹÓù«Ê½£¨C£®1£©µÄËã·¨ºÍ±¾·½·¨¡£

C£®3£®2 Æ½¾ùÖµµÄ×ܾùÖµ

    Óù«Ê½£¨C£®2£©È·¶¨Æ½¾ùÖµµÄ×Ü£¨×ۺϣ©Æ½¾ùÖµ

                                     

 (C.2)ʽÖУ¬

¡ª¡ª²ÉÑùµãƽ¾ùÖµµÄ×ܾùÖµ

ÖÁ¡ª¡ªÓù«Ê½£¨C£®1£©µÃ³öµÄ¸÷¸ö²ÉÑùµãµÄƽ¾ùÖµ

m¡ª¡ª²ÉÑùµãµÄ×ÜÊý   (Iso14644ÖÐÎİæÔ­ÎÄÀ´Ô´£ºhttp://www.iwuchen.com/a-102/)

ÎÞÂÛÈκÎÒ»¸ö¸ø¶¨µÄ²ÉÑùµãµÄÑùÆ·ÊýÊǶàÉÙ£¬Ëùºúµ¥¸ö²ÉÑùµãµÄƽ¾ùÖµ¶¼µÈÁ¿¼ÓȨ¡£

C£®3£®3 ²ÉÑùµãƽ¾ùÖµµÄ±ê׼ƫ²î£¨S£©

Óù«Ê½£¨C£®3£©È·¶¨²ÉÑùµãƽ¾ùÖµµÄ±ê׼ƫ²î¡£

                            

£¨C.3£©Ê½ÖÐ,

S ¡ª¡ª²ÉÑùµãƽ¾ùÖµµÄ±ê׼ƫ²î

C£®3£®4 ×ܾùÖµµÄ95%ÖÃÐÅÉÏÏÞ£¨UCL£©

   Óù«Ê½£¨C.3£©È·¶¨×ܾùÖµµÄ95%ÖÃÐÅÉÏÏÞ

                                      

 (C.4)ʽÖУ¬

t0.95¡ª¡ª±íʾ¾ßÓÐm-1µÄ×ÔÓɶȷֲ¼µÄ95%·Ö²¼£¨·Ö²¼µã£©¡£

±íC.1Öиø³öÁË95%ÖÃÐÅÉÏÏÞ£¨UCL£©µÄÑо¿t·Ö²¼ÏµÊý£¨t0.95£©¡£ÁíÍ⣬ͳ¼Æ¼ÆËã»ú³ÌÐòÖеÄѧÉút·Ö²¼Ò²ÊǺϸñµÄ¡£


±íC.1  95%ÖÃÐÅÉÏÏÞ£¨UCL£©µÄÑо¿tµÄ·Ö²¼ÏµÊý

¸÷¸öƽ¾ùÖµµÄ²ÉÑùµãÊý(m)

2

3

4

5

6

7-9

t

6.3

2.9

2.4

2.1

2.0

1.9





¸½Â¼D

£¨×ÊÁϲ¿·Ö£© 


µÈ¼¶¼ÆËãµÄÓ¦ÓÃʵÀý 

D£®1 Àý1

D£®1£®1

    ±»²âµÄ½à¾»ÊÒÃæ»ý£¨A£©Îª80m2¡£ÐèҪȷ¶¨ÆäÔÚ¶¯Ì¬ÏÂÊÇ·ñ·ûºÏ¹æ¶¨µÄÐü¸¡¹æ¶¨µÄÐü¸¡Á£×ӽྻ¶ÈµÈ¼¶¡£¸Ã½à¾»Êҹ涨µÄ¿ÕÆø½à¾»¶ÈµÈ¼¶ÎªISO Class 5£¨5¼¶£©¡£

D£®1£®2

    ¹æ¶¨ÁË2¸ö±»¿¼ÂÇÁ£¾¶£º0.3¦Ìm (D1)ºÍ0.5(D2) ¦Ìm

a)2¸öÁ£¾¶¶¼ÔÚISO Class 5µÄÁ£¾¶·¶Î§Ö®ÄÚ£¬£¨¼û3.3c£©ºÍ±í1:0.1¦Ìm¡Ü0.3¦Ìm,0.5¦Ìm¡Ü5¦Ìm

b)±»¿¼ÂǵĶþ¸öÁ£¾¶ÊÇ·ñ·ûºÏÁ£¾¶±ÈÒªÇó£¬D2¡Ý1.5 X D1£¨¼û3.3c£©:0.5¦Ìm¡Ý(1.5 X 0.3¦Ìm=0.45¦Ìm),ÊÇ·ûºÏµÄ¡£

D£®1£®3


D£®1£®4

    ²ÉÑùµãÊý°´¹«Ê½¼ÆËã

                                      

Òò´Ë£¬×îÉÙ²ÉÑùµãÊýΪ9¸ö¡£ÓÉÓÚ²ÉÑùµãÊýÉÙÓÚ10£¬°´¸½Â¼C¼ÆËã95%ÖÃÐÅÉÏÏÞÊÇÊÊÓõġ£


D£®1£®5

    µ¥´Î²ÉÑùÁ¿VsÒÔÉý¼Æ£¬°´¹«Ê½£¨B.2£©¼ÆË㣨¼ûB.4.2.1£©

                                                           

½á¹û´óÓÚ2L£¬Ñ¡ÔñµÄ²ÉÑùÁ¿Îª28L/minµÄ²ÉÑùÒÇÆ÷£¨ÀëÉ¢Á£×Ó¼ÆÊýºÍ¹âÉ¢ÉäÒÇÆ÷ͨÓõÄÁ÷Á¿£©ÕâһѡÔñµÄÒÀ¾ÝÊÇ£º

a) Vs>2L(¼ûB4.2.2)

b) Cn.m>20pc/m3(¼ûB.4.2.1)

c)²ÉÑùʱ¼ä>1·ÖÖÓ(¼ûB.4.2.2)


D£®1£®6

    ÔÚ¸÷²ÉÑùµã£¬Ö»È¡Ò»´Î²ÉÑùÁ¿£¨28Éý£©£¨B.4.2.1£©¡£

²âÁ¿Öеõ½µÄ¼ÆÊý¼Ç¼ÈçÏ£¨B.5.1.1£©¡£

²ÉÑùµã

Á£×ÓÊý£¨¡Ý0.3¦Ìm£©

Á£×ÓÊý£¨¡Ý0.5¦Ìm£©

1

245

21

2

185

24

3

59

0

4

106

7

5

164

22

6

196

25

7

226

23

8

224

37

9

195

19


D£®1£®7 

    °´Ô­Ê¼Êý¾Ý£¨D£®1£®6£©¼ÆËãÁ£×Ópc/m3£¬Xi £º

²ÉÑùµã

Xi¡Ý0.3¦Ìm

Xi¡Ý0.5¦Ìm

1

8750

750

2

6607

857

3

2107

0

4

3786

250

5

5857

786

6

7000

893

7

8071

821

8

8000

1321

9

6964

679

0.3¦ÌmºÍ0.5¦Ìm¼ÆËã³öµÄŨ¶ÈÖµ¾ùµÍÓÚD£®1£®3ÖÐÈ·¶¨µÄÏÞÖµ£¬Âú×ãÁ˵ȼ¶µÄµÚÒ»²¿·Ö£¨B£®6£®1£©ÒªÇó£¬Òò´Ë¿ÉÒÔ°´¸½Â¼C½øÐÐ95%µÄÖÃÐÅÉÏÏ޵ļÆËã¡£


D£®1£®8 

    °´¹«Ê½£¨C£®1£©¼ÆËãÆ½¾ùŨ¶È£¨¼ûC£®2£©ÊDz»ÊÊÓõģ¬ÒòΪ²É¼¯µÄÁ¿Êǵ¥´Î²ÉÑùÁ¿£¬´ú±í¸÷¸öµãµÄƽ¾ùÁ£×ÓŨ¶È¡£Æ½¾ùÖµµÄ×ܾùÖµÒª°´¹«Ê½£¨C£®2£©¼ÆË㣨¼ûC£®3£®2£©¡£

¡Ý0.3¦ÌmµÄÁ£×Ó£º


D£®1£®9

    °´¹«Ê½£¨C.3£©¼ÆËã²ÉÑùµãƽ¾ùÖµµÄ±ê×¼Îó²î£¨¼ûC.3.3£©¡£

¡Ý0.3¦ÌmµÄÁ£×Ó£º

ËÄÉáÎåÈëΪ382pc/m3


D£®1£®10

    °´¹«Ê½£¨C.4£©¼ÆËã95%ÖÃÐÅÉÏÏÞ(UCL)£¨¼ûC.3.4£©.µ¥¸öƽ¾ùÖµ²ÉÑùµãÊým=9,È¡×Ô±íC.1Öеķֲ¼ÏµÊýt=1.9¡£


D£®1£®11

    °´B.6.1¶Ô½á¹û½øÐÐÕûÀí¡£ÔÚD.1.7Öи÷µ¥´Î²ÉÑùÁ¿µÄÁ£×ÓŨ¶ÈµÍÓڹ涨µÄµÈ¼¶ÏÞÖµ¡£ÔÚD.1.10ÖУ¬¼ÆËã³öµÄ95%ÖÃÐÅÉÏÏÞֵͬÑùµÍÓÚÔÚD.1.3Öй涨µÄµÈ¼¶ÏÞÖµ¡£

   Òò´Ë£¬¸Ã½à¾»ÊÒµÄÐü¸¡Á£×ӽྻ¶È·ûºÏÒªÇóµÄ¼¶±ð¡£


D£®2 ÊµÀý2

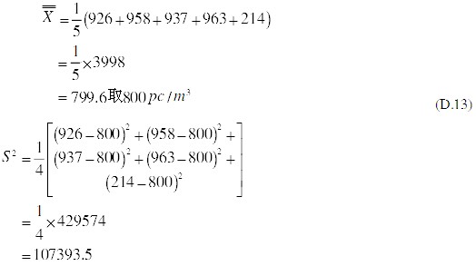
D£®2£®1

    ±¾Ê¾ÀýÄ¿µÄÔÚÓÚ֤ʵ95%UCLµÄ¼ÆËã¶Ô½á¹ûµÄÓ°Ïì¡£

   Ä³Ò»½à¾»Êҹ涨Ðü¸¡Á£×ӽྻ¶ÈΪISO 3¼¶£¬¶¯Ì¬£¬²ÉÑùµãÊý¶¨Îª5¸ö¡£ÓÉÓÚ²ÉÑùµãÊý¶àÓÚ1¸ö£¬ÉÙÓÚ10¸ö£¬Ó¦°´¸½Â¼C¼ÆËã95%ÖÃÐÅÉÏÏÞ¡£

   Ö»¿¼ÂÇÒ»ÖÖÁ£¾¶£¨D¡Ý0.1¦Ìm£©¡£

D£®2£®2

    ISO 3¼¶£¬Á£¾¶¡Ý0.1¦Ìm£¬´Ó±í1ÖÐÈ¡Á£×ÓŨ¶ÈÏÞÖµ£º

Cn£¨¡Ý0.1¦Ìm£©= 1000 pc/m3

D£®2£®3

    ÔÚ¸÷²ÉÑùµã½öµ¥´Î²ÉÑù£¬°´£¨B.5.1.1£©¼Ç¼¸÷µãµÄÁ£×ÓŨ¶ÈXipc/m3£¬²¢¼Ç¼ÈçÏ¡£

               ²ÉÑùµã                Xi¡Ý0.1¦Ìm

                  1                      926

                  2                      958

                  3                      937

                  4                      963

                  5                      214

D=0.1¦Ìmʱ¸÷Á£×ÓŨ¶ÈֵСÓÚD.2.2ÖÐÈ·¶¨µÄÏÞÖµ¡£Õâ¸ö½á¹ûÂú×ãÁ˵ȼ¶µÄµÚÒ»²¿·Ö£¨B.6.1£©£¬Òò´Ë¿ÉÒÔ°´¸½Â¼C½øÐÐ95%ÖÃÐÅÉÏÏ޵ļÆËã¡£


D£®2£®4

   Æ½¾ùÖµµÄ×ܾùÖµÒª°´¹«Ê½£¨C.2£©¼ÆËã(¼ûC.3.2)¡£


D£®2£®5

   °´¹«Ê½£¨C.3£©¼ÆËã²ÉÑùµãƽ¾ùÖµµÄ±ê×¼Îó²î£¨¼ûC.3.3£©£º


D£®2£®6

    °´¹«Ê½£¨C.4£©¼ÆËã95%ÖÃÐÅÉÏÏÞ(UCL)(¼ûC.3.4)£º

    µ¥¸öƽ¾ùÖµm=5,È¡×Ô±íC.1Öеķֲ¼ÏµÊýt=2.1

D£®2£®7

   ¸÷µ¥´Î²ÉÑùÁ¿µÄÁ£×ÓŨ¶ÈµÍÓڹ涨µÄµÈ¼¶ÏÞÖµ£¨D.2.2£©¡£

   µ«ÊÇ£¬95%ÖÃÐÅÉÏÏ޵ļÆËã±íÃ÷¸Ã½à¾»ÊÒÐü¸¡Á£×ӽྻ¶È²»·ûºÏ¹æ¶¨µÄ¼¶±ð¡£

   ±¾Ê¾Àý˵Ã÷°´95%UCLµÄ¼ÆËã½á¹û£¬Ò»¸öµ¥²ÉÑùµÄ½çÍâµÍÁ£×ÓŨ¶È£¨¼´²ÉÑùµã5£©ËùÔì³ÉµÄÓ°Ïì¡£

   ÓÉÓÚ¿ÕÆø½à¾»¶ÈµÄµÈ¼¶Ö®²»Ïà·ûÐÔÊÇÒò²ÉÓÃÁË95%UCL£¬²¢ÓÉÒ»¸öµ¥´Î²ÉÑùµÄµÍÁ£×ÓŨ¶ÈÔì³É£¬¿É°´ÕÕB.6.2ÖеijÌÐòÈ·¶¨¸Ã²»Ïà·ûÐÔÊÇ·ñ¿ÉÒÔ×÷·Ï²»¼Æ¡£



¸½Â¼E

£¨×ÊÁϲ¿·Ö£© 


¶ÔµÈ¼¶±íÁ£¾¶Ö®ÍâµÄÁ£×ÓÖ®Á£¾¶ºÍ¼ÆÊýµÄ¿¼ÂÇ 

E£®1 Í¨Ôò

   ÔÚijЩÇé¿öÏ£¬ÌرðÊÇÓë¾ßÌ幤ÒÕÒªÇóÏàÁ¬µÄÇé¿öÏ£¬¿ÉÒÔÒÀ¾ÝµÈ¼¶±íÁ£¾¶·¶Î§Ö®ÍâµÄÁ£×ÓȺÌ广¶¨ÁíÍâÊÊÓÃµÄ¿ÕÆø½à¾»¶È¼¶±ð¡£Óû§ºÍ¹©Ó¦ÉÌÓ¦¾ÍÕâÀàÁ£×ÓµÄ×î´óÔÊÐíŨ¶ÈºÍÑ¡ÔñÑéÖ¤Ïà·ûÐԵIJâÊÔ·½·¨µÈÎÊÌâ´ï³ÉЭÒé¡£ÔÚE£®2£¨UÃèÊö·û£©ºÍE£®3£¨MÃèÊö·û£©Öиø³öÁ˹ØÓÚ²âÊÔ·½·¨ºÍ¹æ¶¨µÄ¼¼ÊõÒªÇóÐÎʽµÄ¿¼ÂÇ¡£


E£®2 Ð¡ÓÚ0.1¦ÌmµÄÁ£×Ó£¨³¬Î¢Á£×Ó£©µÄÆÀ¼Û¡ª¡ªUÃèÊö·û

E£®2£®1 Ó¦ÓÃ

   Èç¹ûÒªÆÀ¶¨Ð¡ÓÚ0.1¦ÌmµÄÁ£×ÓÔì³ÉµÄÎÛȾΣÏÕ£¬Ó¦²ÉÓÃÊʺÏÓÚÕâÀàÁ£×Ó¾ßÌåÌØÐԵIJÉÑù×°ÖúͲâÁ¿³ÌÐò¡£

   Ó¦¸Ã°´ÕÕB£®4£®1È·¶¨²ÉÑùµãµÄÊýÄ¿£¬×îС²ÉÑùÁ¿VsӦΪ2L£¨B.4.2.2£©

E£®2£®2  UÃèÊö·ûµÄÐÎʽ

    UÃèÊö·ûµÄ³¬Î¢Á£×ÓŨ¶È¿ÉÒÔµ¥¶ÀÓ¦Ó㬻òÕßÊÇ×÷ΪÐü¸¡Á£×ӽྻ¶È¼¶±ðµÄ²¹³äÀ´Ó¦Óá£UÃèÊö·ûÓá°U£¨x;y£©¡±µÄÐÎʽ±íʾ£¬ÆäÖУ¬

    x¡ª¡ª³¬Î¢Á£×ÓµÄ×î´óÔÊÐíŨ¶È£¨ÒÔ³¬Î¢Á£×Ópc/m3¿ÕÆø±íʾ£©£»

    y¡ª¡ªÒÔ΢Ã׼ƵÄÁ£¾¶µÄ£¬ÓÃÊÊÒ˵ÄÀëÉ¢Á£×Ó¼ÆÊýÆ÷¶ÔÕâÖÖÁ£×ÓÊý¼ÆÊýʱ£¬¼ÆÊýЧÂÊΪ50%¡£

ʵÀý ÈçÁ£¾¶·¶Î§Îª£¬×î´óÔÊÐí³¬Î¢Á£×ÓµÄŨ¶ÈΪ140000 pc/m3£¬Æä±êʶ·ûΪ¡°U£¨140000£»0.1¦Ìm£©¡±¡£

×¢1ÔÚIEST-G-CC1002[1]Öиø³öÁËСÓÚ0.1¦ÌmµÄÐü¸¡Á£×ÓŨ¶È²âÊÔ·½·¨¡£

×¢2Èç¹ûÓÃUÃèÊö·û×÷ΪÐü¸¡Á£×ӽྻ¶È¼¶±ðµÄ²¹³ä£¬³¬Î¢Á£×ÓµÄŨ¶È£¨x£©²»µÃСÓڹ涨µÄISOµÈ¼¶Ö®0.1¦Ìm±»¿¼ÂÇÁ£¾¶ÊÊÓõÄÁ£×ÓŨ¶ÈÏÞÖµ£¨pc/m3£©¡£


E£®3 ´óÓÚ5¦ÌmµÄÁ£×Ó£¨´óÁ£×Ó£©µÄÆÀ¼Û¡ª¡ªMÃèÊö·û

E£®3£®1 Ó¦ÓÃ

   Èç¹ûÒªÆÀ¶¨´óÓÚ5¦ÌmµÄÁ£×ÓÔì³ÉµÄÎÛȾΣÏÕ£¬Ó¦²ÉÓÃÊʺÏÓÚÕâÀàÁ£×Ó¾ßÌåÌØÐԵIJÉÑù×°ÖúͲâÁ¿³ÌÐò¡£

   Ðü¸¡Á£×ÓȺÌåÖеĴóÁ£×ÓÖ÷ÒªÊÇÔÚ¹¤ÒÕ»·¾³ÖÐÊͷųöµÄÁ£×Ó¡£Ó¦¸Ã¸ù¾Ý¾ßÌåµÄÓ¦ÓÃÀ´È·¶¨ÊÊÓõIJÉÑù×°ÖúͲâÁ¿³ÌÐò¡£ÐèÒª¿¼ÂǵÄÒòËØÓÐÁ£×ÓµÄÃܶȡ¢ÐÎ×´¡¢ÈÝ»ýºÍ¿ÕÆø¶¯Á¦ÌØÐÔ¡£»¹¿ÉÄÜÐèÒªÌØÊâÇ¿µ÷µÄÔÚ×ÜÐü¸¡Á£×ÓÖеÄÌØÊâ³É·Ý£¬ÈçÏËά¡£

E£®3£®2  MÃèÊö·ûµÄÐÎʽ

    MÃèÊö·û¿ÉÒÔµ¥¶ÀÓ¦Ó㬻òÕßÊÇ×÷ΪÐü¸¡Á£×ӽྻ¶È¼¶±ðµÄ²¹³äÀ´Ó¦Óá£MÃèÊö·ûÓá°M£¨a; b£©; c¡±µÄÐÎʽ±íʾ£¬ÆäÖУ¬

    a¡ª¡ª´óÁ£×ÓµÄ×î´óÔÊÐíŨ¶È£¨ÒÔ´óÁ£×Ópc/m3¿ÕÆø±íʾ£©£»

    b¡ª¡ªµ±Á¿Ö±¾¶£¨»òÖ±¾¶£©£¬Óë¹æ¶¨µÄ²âÁ¿´óÁ£×ӵķ½·¨Ïà¹Ø£¨ÒÔ΢Ã×±íʾ£©£»

    c¡ª¡ª¹æ¶¨µÄ²âÁ¿·½·¨

×¢1 Èç¹û²ÉÑùµÄÐü¸¡Á£×ÓȺÌåÖк¬ÓÐÏËά£¬Ôò¿ÉÒÔÏòMÃèÊö·û¸½¼ÓÒ»¸öµ¥¶ÀµÄÏËάÓÃÃèÊö·û£¬±íʾÐÎʽΪMfiber(a; b; ):c¡£

Àý1 Èç¹ûʹÓòⶨÁ£×Ó¿ÕÆø¶¯Á¦Ö±¾¶µÄ¸¡ÓÎÆøÈܽºÁ£×Ó¼ÆÊýÆ÷£¬Á£¾¶·¶Î§Îª¡Ý5¦ÌmµÄÐü¸¡Á£×ÓµÄŨ¶ÈΪ10000 pc/m3£¬ÔòÆä±êʶ·ûΪ¡°M(10000;>5¦Ìm)£»¸¡ÓÎÆøÈܽºÁ£×Ó¼ÆÊýÆ÷¡±¡£

Àý2 Èç¹ûʹÓö༶³å»÷È¡ÑùÆ÷£¬È»ºóÔÙÓÃÏÔ΢·¨²â¶¨Á£¾¶²¢¼ÆÊý£¬Á£¾¶·¶Î§Îª10-20¦ÌmµÄÐü¸¡Á£×ÓµÄŨ¶ÈΪ1000 pc/m3£¬ÔòÆä±êʶ·ûΪ¡°M(1000;10-20¦Ìm)£»¶à¼¶³å»÷²ÉÑùÆ÷£¬È»ºóÔÙÓÃÏÔ΢·¨²â¶¨Á£¾¶²¢¼ÆÊý¡±¡£

×¢2 ÔÚIEST-G-CC1003[2]Öиø³öÁË´óÓÚ5¦ÌmµÄÐü¸¡Á£×ÓŨ¶ÈµÄ²âÊÔ·½·¨¡£

×¢3 Èç¹ûÓÃMÃèÊö·û×÷ΪÐü¸¡Á£×ӽྻ¶È¼¶±ðµÄ²¹³ä£¬´óÁ£×ÓµÄŨ¶È(a)²»µÃ´óÓڹ涨µÄISOµÈ¼¶Ö®5¦Ìm±»¿¼ÂÇÁ£¾¶ÊÊÓõÄÁ£×Ó³¢ÊÔÏÞÖµ£¨pc/m3£©¡£



¸½Â¼F

£¨×ÊÁÏ£©


˳Ðò²ÉÑù·¨

F£®1 ±³¾°ºÍ¾ÖÏÞÐÔ

F£®1£®1 ±³¾°

   Èô²ÉÑùµÄ¿ÕÆøÖ®ÎÛȾ³Ì¶ÈÏÔÖø´óÓÚ»òСÓÚ±»¿¼ÂÇÁ£¾¶µÄ¹æ¶¨¼¶±ðŨ¶È£¬²ÉÓÃ˳Ðò²ÉÑù·¨Í¨³£¿É´ó·ù¶È¼õÉÙ²ÉÑùÁ¿ºÍ²ÉÑùʱ¼ä¡£µ±³¢ÊÔ½Ó½ü¹æ¶¨ÏÞֵʱ£¬Ò²¿ÉʵÏÖÒ»¶¨³Ì¶ÈµÄ½ÚÊ¡²ÉÑùÁ¿ºÍʱ¼ä¡£Ë³Ðò²ÉÑù·¨×îÊʺÏÓÚ¿ÕÆø½à¾»¶ÈÆÚÍû´ïµ½ISO 4¼¶»ò¸ü½à¾»µÄ»·¾³¡£

×¢ ÓйØË³Ðò²ÉÑù·¨µÄ½øÒ»²½×ÊÁÏ£¬¼ûIEST-G-CC 1004[3]¡£

F£®1£®2 ¾ÖÏÞÐÔ£¨Ë³Ðò²ÉÑù·¨µÄÖ÷Òª¾ÖÏÞÐÔÓУº£©

a£© ´Ë·½·¨½öÊÊÓÃÓÚ±»¿¼ÂÇÁ£¾¶µÄÁ£×ÓÔڹ涨µÈ¼¶»òŨ¶ÈÏÞֵʱ£¬Ã¿´Î²âÁ¿µ½20¿ÅÁ£×ӵIJÉÑù¡£

b£© Ã¿´Î²ÉÑù²âÁ¿ÒªÇó¸¨Öú¼à²âºÍÊý¾Ý·ÖÎö£¬¿ÉÒÔÓüÆËã»ú×Ô¶¯½øÐС£

c£© ÓÉÓÚ¼õÉÙÁ˲ÉÑùÁ¿£¬Á£×ÓŨ¶ÈµÄÈ·¶¨²»Èç³£¹æ²ÉÑù·¨¾«È·¡£


F£®2 Ë³Ðò²ÉÑù·¨µÄÒÀ¾Ý

   ´Ë·½·¨»ùÓÚʵʱÀÛ»ýÁ£×Ó¼ÆÊýÓë²Î¿¼¼ÆÊýÖµµÄ¶Ô±È¡£²Î¿¼ÊýÖµÓÉÇóÉÏÏÂÏÞÖµµÄ¹«Ê½µÃ³ö£º

    ÉÏÏÞÖµ£ºC=3.96+1.03E                         (F.1)

    ÏÂÏÞÖµ£ºC=-3.96+1.03E                        (F.2)

¹«Ê½ÖУ¬

CΪ¹Û²ìµ½¼ÆÊý

EΪÆÚÍû¼ÆÊý

ΪÁ˱ãÓڱȽϣ¬ÔÚͼF.1ͼÐεÄÐÎʽ£¬±íF.1ÒÔ±í¸ñµÄÐÎʽÌṩÁ˲ο¼Öµ¡£Á½ÖÖÐÎʽ¾ù¿É²ÉÓÃ


±íF.1 ¶ÔÓÚʱ¼äÓ¦´ïµ½C¹Û²ìµ½¼ÆÊýֵʱµÄÉÏÏÂÏÞÖµ

²»ºÏ¸ñ

Èô¹Û²ìµ½¼ÆÊýÖµCÔçÓÚÆÚÍû¼ÆÊýÖµ³öÏÖ

ºÏ¸ñ

Èô¹Û²ìµ½¼ÆÊýÖµC³ÙÓÚÆÚÍû¼ÆÊýÖµ³öÏÖ

ÒÔСÊý±íʾµÄʱ¼ät

¹Û²ìµ½¼ÆÊýÖµ

ÒÔÕ´ÉÏÊý±íʾµÄʱ¼ät

¹Û²ìµ½¼ÆÊýÖµ

0,0019

4

0,1922

0

0,0505

5

0,2407

1

0,0992

6

0,2893

2

0,1476

7

0,3378

3

0,1961

8

0,3864

4

0,2447

9

0,4349

5

0,2932

10

0,4834

6

0,3417

11

0,5320

7

0,3902

12

0,5805

8

0,4388

13

0,6291

9

0,4873

14

0,6676

10

0,5359

15

0,7262

11

0,5844

16

0,7747

12

0,6330

17

0,8233

13

0,6815

18

0,8718

14

0,7300

19

0,9203

15

0,7786

20

0,9689

16

1,0000

21

1,0000

17

×¢£ºÒÔСÊý±íʾµÄʱ¼äÊÇʱ¼äµÄ°Ù·ÖÂÊ£¨²»µÈ¼¶ÏÞֵʱt=1.000£©


   ÔÚ¸÷Ö¸¶¨µÄ²ÉÑùµã½øÐÐ¿ÕÆø²ÉÑùʱ£¬ÕýÔÚ¼ÆÊýµÄ×ÜÁ£×Ó¼ÆÊýÖµÁ¬ÐøµØÓë×÷Ϊ¹æ¶¨ÒѲÉÑù×ÜÁ¿µÄ±ÈÀýº¯ÊýµÄ²Î¿¼Öµ½øÐбȽϡ£Èç¹ûÕýÔÚ¼ÆÊýµÄ×ܼÆÊýÖµµÍÓÚÓëÒѲÉÑùÁ¿ÏàÓ¦µÄ²Î¿¼ÏÞÖµ£¬ÔòÕýÔÚ²ÉÑùµÄ¿ÕÆø±»ÈÏΪÊÇ·ûºÏ¹æ¶¨µÄµÈ¼¶»òŨ¶È£¬²ÉÑùÍ£Ö¹¡£

   Èç¹ûÕýÔÚ¼ÆÊýµÄ×ܼÆÊýÖµ¸ßÓÚÓëÒѲÉÑùÁ¿ÏàÓ¦µÄ²Î¿¼ÏÞÖµ£¬ÔòÕýÔÚ²ÉÑùµÄ¿ÕÆø±»ÈÏΪ²»·ûºÏ¹æ¶¨µÄµÈ¼¶»òŨ¶È£¬²ÉÑùÍ£Ö¹£¬Ö»ÒªÕýÔÚ¼ÆÊýµÄÊýÖµ´¦ÓÚÉÏ¡¢ÏÂÏÞÖ®¼ä£¬²ÉÑù¾ÍÁ¬Ðø½øÐУ¬Ö±µ½Õû¸ö²ÉÑù±»ÀÛ»ý¡£

   Í¼F.1»æ³öµÄÊǹ۲쵽¼ÆÊýÖµCÓëÆÚÍû¼ÆÊýÖµEµÄ¹ØÏµ¡£ÆÚÍû¼ÆÊýÖµEÊÇÔÚ²âÁ¿È«²¿µ¥´Î²ÉÑù¿ÕÆøµÄʱ¼äÄÚ²úÉú20¸ö¼ÆÊýµÄÁ÷Á¿£¨ÈÝ»ý/ʱ¼ä£©Ê±²ÉÑù¿ÕÆøµÄ¼ÆÊý£¬¶øÇÒŨ¶ÈÓ¦·ûºÏ±»¿¼ÂÇÁ£¾¶µÄ¹æ¶¨ÏÞÖµ¡£

   ±íF.1ÌṩÁËÒ»µÈЧµÄ·½·¨¡£°Ñ¹Û²ìµ½¼ÆÊýCµÄʱ¼äÓë±íÖвâÁ¿È«²¿µ¥´Î²ÉÑù¿ÕÆøÒªÇóµÄµÝÔöʱ¼äÏà±È½Ï¡£Èô¼ÆÊýµÄ³öÏÖÔçÓÚ±íÖÐµÄÆÚÍûʱ¼ä£¬ÔòÊDZ»²ÉÑùµÄ¿ÕÆø²»·ûºÏ¹æ¶¨ÏÞÖµ¡£Èô¼ÆÊýµÄ³öÏÖ³ÙÓÚ±íÖÐµÄÆÚÍûʱ¼ä£¬Ôò±»²ÉÑùµÄ¿ÕÆø·ûºÏ¹æ¶¨ÏÞÖµ¡£×î¶àÒªÇó21´ÎÁ£×ӵóöʱ¼äÓë±íÖÐÏÞ¶¨Ê±¼äµÄ¶Ô±È¡£


F£®3 ²ÉÑù³ÌÐò

F£®3£®1 Ë³Ðò²ÉÑù»ù×¼

   ÓÐÁ½ÖÖ¼ø¶¨Êý¾ÝÊÕ¼¯½á¹ûµÄ¼¼Êõ¿É¹©Ñ¡Ôñ¡£½øÕ¹Ê½¼ÆËã»ú»¯µÄÊý¾Ý·ÖÎö±È½ÏºÃ£¬ÔÚ´ËÍÆ¼öʹÓá£

F£®3£®2 Í¼ÐÎʽ²ÉÑù¶Ô±È

   Í¼F.1±íʾ°´¹«Ê½£¨F.1£©ºÍ£¨F.2£©½¨Á¢µÄ½çÏÞ¡£½ØÖ¹µ½E=20ΪÏÞÖµ£¬±íʾÊÕ¼¯¡ªÈ«²ÉÑùÁ¿ÐèÒªµÄʱ¼ä£¬¶øC=20ÔòΪÔÊÐíµÄ×î´ó¹Û²ìµ½¼ÆÊýÖµ¡£

   »æ³ö¹Û²ìµ½¼ÆÊýÖµÏà¶ÔÓÚÁ£×ÓŨ¶È¾«È·µÈÓڹ涨¼¶±ðµÄ¿ÕÆøµÄÆÚÍû¼ÆÊýÖµ¡£¾­¹ýµÄʱ¼äÓëÆÚÍû¼ÆÊýÖµµÄÔö¼ÓÊýÏà¶ÔÓ¦£¬E=20±íʾÔÚÁ£×ÓŨ¶ÈΪ¼¶±ðÏÞֵʱ£¬ÀÛ»ý¡ªÈ«²ÉÑùÁ¿ËùÒªÇóµÄʱ¼ä¡£

   Ëæ×ŲÉÑùµÄ½øÐУ¬¼Ç¼ÏÂ×÷Ϊʱ¼äº¯ÊýµÄÁ£×Ó¼ÆÊý£¬²¢½«¸Ã¼ÆÊýÓëͼF.1ÖеÄÉÏ¡¢ÏÂÏÞÏß½øÐбȽϡ£Èç¹ûÀÛ»ý¹Û²ìµ½¼ÆÊýÓëÉÏÏÞÏßÏཻ£¬¸ÃµãµÄ²ÉÑùÍ£Ö¹£¬¿ÕÆø±»ÈÏΪÓë¹æ¶¨µÈ¼¶ÏÞÖµ²»Ïà·û¡£Èç¹ûÀÛ»ý¹Û²ìµ½¼ÆÊýÓëÏÂÏÞÏßÏཻ£¬¸ÃµãµÄ²ÉÑùÍ£Ö¹£¬¿ÕÆø±»ÈÏΪÓë¹æ¶¨µÈ¼¶ÏÞÖµÏà·û¡£Èç¹ûÀÛ»ý¹Û²ìµ½¼ÆÊý±£³ÖÔÚÉÏ¡¢ÏÂÏÞÏßÖ®¼ä£¬²ÉÑù¼ÌÐø½øÐС£

   ÈçÔڹ涨µÄ²ÉÑùÆÚ½áÊøÊ±×ܼÆÊýΪ20»ò²»µ½20£¬²¢ÇÒδÓëÉÏÏÞÏßÏཻ£¬Ôò¿ÕÆø±»ÈÏΪ·ûºÏµÈ¼¶ÏÞÖµ¡£

F£®3£®3 Í¼±í²ÉÑù±È½Ï

   ±íF.1ÌṩÁË¡ªÓë˳Ðò²ÉÑù·¨µÈЧµÄ·½·¨¡£Í¬Ñù»ùÓÚ¹«Ê½£¨F.1£©ºÍ£¨F.2£©¡£±íÖеÄʱ¼ät±»¸³ÓèÒ»¸öÖµ-¡°10000¡±£¬±íʾһ¸öÍêÕûµÄµ¥´Î²ÉÑùÆÚ¼ä¡£Èç¹û¿ÕÆøÖк¬Óб»¿¼ÂÇÁ£¾¶µÄ¾«È·µÄµÈ¼¶ÏÞÖµµ±Á¿Å¨¶È£¬¸Ã´Î²ÉÑùÁ¿¼´ÊÇÌṩ20¸öÁ£×Ó±ØÐèÒªµÄÁ¿¡£±íÖÐÁгöµÄʱ¼äÖµÊÇÀÛ»ýÕû¸öµ¥´Î²ÉÑùÐèÒªµÄ×Üʱ¼ä֮СÊý²¿·Ö¡£

   ±íF.1ÖÐ˳Ðò²ÉÑù·¨µÄ³ÌÐòÈçÏ£º

   Ëæ×ŲÉÑùµÄ½øÐмǼÏÂ×÷Ϊʱ¼äº¯ÊýµÄÁ£×Ó¼ÆÊý£¬²¢½«¸÷´Î¹Û²ìµ½¼ÆÊýµÄʱ¼äÓë±í´ïʽÖÐÁ½ÁÐʱ¼äÏà±È½Ï¡£Èç¹ûÓë±í×ó²àµÄÒ»ÁÐÏà±È£¬Ö¤Ã÷¸ø¶¨µÄÀÛ»ý¹Û²ìµ½¼ÆÊýµÄ³öÏÖÔçÓÚÆÚÍûʱ¼ä£¬¸ÃµãµÄ²ÉÑùÍ£Ö¹£¬¿ÕÆø±»ÈÏΪÓë¹æ¶¨µÈ¼¶ÏÞÖµ²»Ïà·û¡£Èç¹ûÓë±íÓÒ²àµÄÒ»ÁÐÏà±È£¬Ö¤Ã÷ÀÛ»ý¹Û²ìµ½¼ÆÊýµÄ³öÏÖ³ÙÓÚÆÚÍûʱ¼ä£¬¸ÃµãµÄ²ÉÑùÍ£Ö¹£¬¿ÕÆø±»ÈÏΪÓë¹æ¶¨µÈ¼¶ÏÞÖµÏà·û¡£Èç¹ûÀÛ»ý¹Û²ìµ½¼ÆÊýÁ¬Ðø³öÏÖÔÚÁ½ÁÐʱ¼äÖ®¼ä£¬²ÉÑù¼ÌÐø½øÐС£Èç¹ûÓë±í×ó²àµÄÒ»ÁÐÏà±È½Ï21´Î£¬¼ÆÊýÈÔ¼ÌÐø½øÐУ¬²¢ÇÒûÓÐÔçÓÚÆÚÍûʱ¼ä³öÏֵļÆÊý£¬¿ÕÆøÔò·ûºÏÈ«²¿µ¥´Î²ÉÑùµÄ¹æ¶¨ÏÞÖµ¡£

¸ü¶à
Ïà¹ØÎÄÕ£º
½à¾»³§·¿Éè¼Æ¹æ·¶(GBJ73-84)£¨½à¾»ÊÒÉè¼Æ±ê×¼£©ÀϰæÈ«ÎÄ
½à¾»³§·¿Éè¼Æ¹æ·¶(GB 50073-2001)£¨Ð°æ½à¾»ÊÒÉè¼Æ±ê׼ȫÎÄ£©

ÉÏÒ»Ìõ£º´«È¾²¡Ò½Ôº½¨ÖþÊ©¹¤¼°ÑéÊչ淶(×îÐÂÍêÕû°æÈ«ÎÄ)ÏÂÒ»Ìõ£ºISO14644-2(½à¾»ÊÒ¼°Ïà¹Ø¿ØÖÆ»·¾³¹ú¼Ê±ê×¼)
Ê×Ò³ | ¹ØÓÚÎÒÃÇ | ½â¾ö·½°¸ | ¹¤³Ì°¸Àý | ¿Í»§ÖÐÐÄ | ½à¾»ÊÒ±ê×¼ | ¼¼ÊõÖÐÐÄ | ÁªÏµÎÒÃÇ
ÉîÛÚ¡¢·ðɽ¡¢¶«Ý¸¡¢ÖÐɽ¡¢½­ÃÅ¡¢»ÝÖÝ¡¢¹ãÖݾ»»¯¹¤³Ì¹«Ë¾|ÎÞ³¾³µ¼ä|½à¾»ÊÒ|ÎÞ³¾ÊÒ|¾»»¯³µ¼ä|¾»»¯³§·¿|½à¾»³§·¿|½à¾»³µ¼ä|½à¾»Åï|GMP³µ¼ä|GMP³§·¿µÈ¿Õµ÷½à¾»¹¤³ÌÊ©¹¤¼°·þÎñ
ÍØÕ¹ÔĶÁ£º10Íò¼¶¾»»¯³µ¼ä±ê×¼|ʵÑ鶯Îï·¿|ÖÐÑë³ø·¿|½à¾»ÊÒ»»Æø´ÎÊý|½à¾»ÊÖÊõÊҹ淶|GMP½à¾»¶ÈµÈ¼¶|ʳƷÉú²úÎÀÉú¹æ·¶|½à¾»³§·¿Ê©¹¤Òªµã|ÎÞ³¾³µ¼ä×Å×°¹æ·¶
Copyright © 2012-2018